第5章 集合的基本概念及其运算
- 枚举法/抽象法表示集合1.4 2.6
- 给集合写幂集6.4;幂集的相关证明9 17
- 集合的运算(加上幂集)10.8;证明恒等式11.7 12.3;给集合写幂集/广义并/广义交15.3 15.4
- 包含排斥原理19
- 给集合写集合的乘积21.1 21.3
- 给集合写笛卡尔乘积24.2;笛卡尔相关证明
5.1 集合与元素
- 常用集合:自然数集
、整数集 、有理数集 、实数集 、复数集 、素数集 - { x | x 是高个子} 不是集合,是一个模糊数学中的模糊集合,因为高个子是一个模糊概念。
5.2 集合间的相等和包含关系
- 外延公理(A=B):当且仅当
两集合都含有相同的元素时,称 和 相等,记为 。特别的,{1, 2, 3} = {2, 1, 3} 集合中元素无次序; {1, 1} = {1} 不考虑集合中元素的出现次数,集合是每个元素的重数都是 0 或 1 的多重集
- 定理5.1:
当且仅当 且 。 - 定理5.2:若
且 ,则 。 - 定理5.4:空集
是唯一的 - 单元集、n元集、有穷集、无穷集
5.3 幂集
- 幂集:
的所有子集组成的集合称为 的幂集,记为 ,即 ,或者 。- 空集的幂集仅含有元素
,即 - 对于任意集合
,,
- 空集的幂集仅含有元素
- 基数和幂集的基数
- 基数:有穷集
的元素个数称为 的基数,记为 。 - 定理5.5:
- 基数:有穷集
- 幂集的性质
5.4 集合的运算
1 简单计算
- 交集、并集、差集
和 的差集,也称为 关于 的相对补集,
- 聚合/集合族:如果集合
中的每个元素都是集合,则称 为集合的聚合,或者集合族 - 不相交:集合
和 没有公共元素,即 。 - 不相交聚合:设
是一个集合的聚合,如果 中任何两个不同的元素都是不相交的,则称该聚合为不相交聚合,不相交聚合的元素互称为互不相交的元素 - 补集:
的补集 ,对任意的集合 ,若 ,则 - 对称差集:
和 的对称差集
2 集合恒等式
- 集合恒等式
- 集合代数满足对偶定理:在不含
和 的恒等式中,将 和 互换, 和 互换,得到的仍然是恒等式 - 将不含
和 的命题逻辑等值式中的 换为 , 换为 , 换为 , 换为 , 换为 , 换为 , 换为 ,就得到集合恒等式
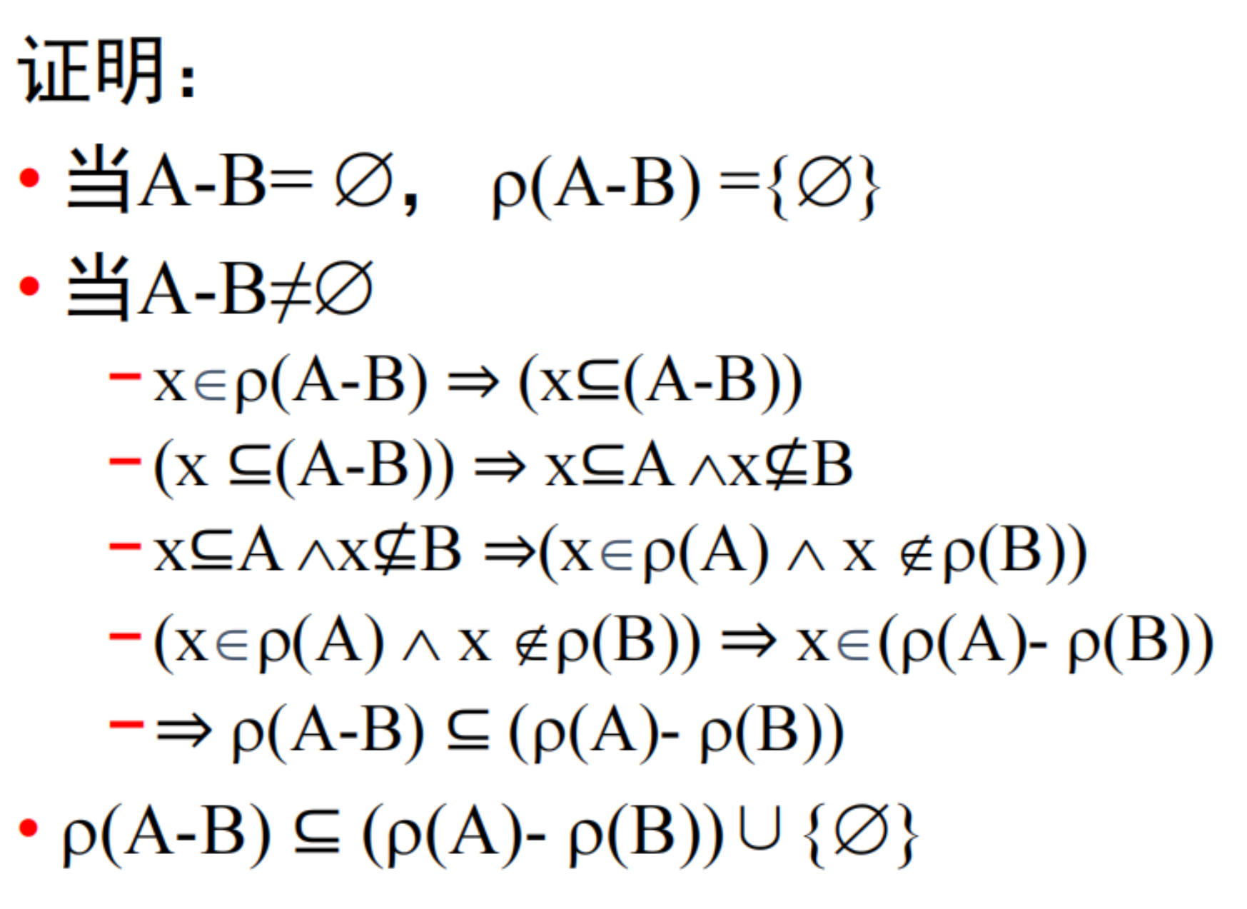
集合恒等式 A=B的证明方法
- 集合代数满足对偶定理:在不含
- 法1:使用集合相等的定义,证明:对于任意
, - 法2:证明
且 - 法3:利用已知集合恒等式进行等式推演
- 例
- 定理5.9:设
是全集 的子集。 当且仅当 和
- 定理5.9:设
3 广义并、广义交
-
广义并、广义交
- 广义并:
的所有元素的并集
若 ,则 至少是 的某个元素的元素 - 广义交:若
, 的所有元素的交集
若 ,则 必须是 的每个元素的元素
有时将集合族的元素表示为带角标的集合,如
,称 为角标集。这里角标集 可以是空集,有穷集,也可以是无穷集。
也将 记为 ,将 记为 - 广义并:
5.5 有穷集的计数原理
- 设
和 是两个不相交的有穷集,即 ,则 - 包含排斥原理:若
和 是有穷集,则- 推论:若
是有穷集,则
- 推广:设
是有限集合,其基数分别为 ,则
- 推论:若
5.6 集合的归纳定义法
集合归纳定义的三个组成部分
- 基础语句:直接规定某些对象是该集合的元素。这保证了所定义的集合是非空的,同时也规定了构造集合的原子元素。
- 归纳语句:规定由已知元素得到新元素的办法。
- 极限语句:限定集合的范围,规定了哪些对象不是该集合的元素,保证了定义的集合是唯一的
极限语句常省略不写
非负偶数集 E 可归纳定义如下:
基础语句 ,
归纳语句 若 , 则 。
字母表
-
字母表(符号集):符号的有穷非空集合,用
表示,称 中元素为符号或字母 -
上的字或串:有限长的字符串,其中每一个字符都是 字母表中的元素。 -
长度:字
中含有的符号个数称为 的长度,记为 。 -
空串:长度为 0 的字称为空串,记为
。显然对任一字母表 , 都是 上的字符串。 -
连接:字母表
上的字 x 和 y 的连接是将 y 接在 x 后面得到的字,记为 xy 。
连接运算满足结合律;
连接运算不满足交换律;
对于任意字x, -
所有
上字的集合 可归纳定义如下:
-
所有
上非空字的集合 可归纳定义如下:
显然, -
设
, ,则串 定义如下: , 。
-
称
的子集为 上的语言 -
上的语言 A 和 B 的乘积
乘积运算满足结合律
乘积运算不满足交换律 -
定义5.20 设
, , 定义如下: , 。
是语言A本身n次乘积的结果。
-
定理5.13
-
定理5.14:设
, m 和 n 是自然数。- 若
,则 。
-
设A是
的子集,则 ,即= 是 自 然 数 ,集合= = 称为星闭包或简称闭包- 集合
定义为: ,集合= = 称为A的正闭包
-
定理5.15
5.7 有序偶和笛卡儿乘积
- 设 n > 2,n 重序偶定义为
- 集合 A 和 B 的笛卡儿乘积
定义为: 。 - 对于任意有穷集合 A 和 B ,
- 笛卡尔积的性质
第6章 关系
- dom、ran相关的证明(2);关系的性质相关的证明(3);给图问关系(5)
- 求复合关系(8);复合相关的证明(12);画自反、传递、对称闭包的关系图(13);闭包相关的证明(14.3 15.3)
- 画哈斯图、求最大最小元等(18);判别偏序/线序/全序/良序(20 23)
是偏序?->哈斯图->八大关系 - a
是等价?->画简图->
6.1 关系及其性质
-
二元关系(关系):有序偶的集合
-
从
到 的关系、 上的关系 -
集合
上的二元关系的数目:如果 ,那么 , 上的二元关系就有 种 -
全域关系(
)、空关系( )、恒等关系( ) -
<x,y>:定义域
;值域 -
关系矩阵
: 为 到 的关系,若 则关系矩阵i行j列元素 ;否则 -
布尔矩阵的乘法:正常乘,大于等于1就是1,否则是0
-
:设 和 都是 行 列的矩阵,如果 的对应元素都小于等于 的对应元素,则记为 。 -
若
和 都是从非空有穷集合 到非空有穷集合 的关系,则 当且仅当 -
关系图:(
是 上的关系)顶点、有向边、自环
关系的性质
-
自反的:
- 每个
都 - 关系矩阵主对角线全为1
- 关系图中每个顶点都有自环
- 每个
-
反自反的:
- 每个
都 - 关系矩阵主对角线全为0
- 关系图中每个顶点都没自环
- 每个
-
既自反又反自反:空集上的空关系
-
既不自反又不反自反:集合
上的关系 -
对称的:
- 每个
,只要 ,就有 - 关系矩阵是对称矩阵
- 关系图中没有单向边(要么无弧要么两条相反方向的弧)
- 每个
-
反对称的:
- 每个
,只要 且 ,就有 - 关系矩阵中,若
,则 - 关系图中没有双向边(要么无弧要么一条弧)
- 每个
-
既对称又反对称:只有自环的关系图,如
-
既不对称又不反对称:
-
传递的
- 每个
,只要 且 ,就有 - 关系矩阵
- 关系图中若从顶点
到顶点 有长度大于 1 的通路,则必有从 到 的有向边
- 每个
6.2 关系的运算
-
尤其注意 是对称差集,其矩阵相应地做异或运算 -
复合关系:
显然, -
设
分别是从 到 , 到 , 到 的关系,则 -
的 次幂 :
-
关系复合的矩阵运算
- 若a到b有长度n的路径,则
有a到b的边
-
逆关系
的关系矩阵是 的关系矩阵的转置矩阵- 设 R是从X到Y的关系, S是从Y到Z的关系, 则
。
-
闭包
- 自反闭包:
- 设 R 是集合 X 上的关系,则 R 的自反闭包
是 上 的 自 反 关 系 且
- 设 R 是集合 X 上的关系,则 R 的自反闭包
- 对称闭包:
- 设 R 是集合 X 上的关系,则 R 的对称闭包
是 上 的 对 称 关 系 且
- 设 R 是集合 X 上的关系,则 R 的对称闭包
- 传递闭包:
- 设 R 是集合 X 上的关系,则 R 的传递闭包
- 设 R 是有 n 个元素的集合 X 上的关系,则
是 上 的 传 递 关 系 且
- 设 R 是集合 X 上的关系,则 R 的传递闭包
- 自反闭包:
6.3 次序关系
-
偏序关系:自反+反对称+传递
-
严格偏序:反自反+传递
-
遮盖
-
哈斯图
-
最大元、最小元、极大元、极小元
-
上界、下界、上确界、下确界
-
良序集
6.4 等价关系
- 覆盖、划分
- 等价关系:自反、对称、传递
- 等价类
- 简图/简化关系图
- 等价与划分(商集、
)
- 集合X上的等价关系R与集合X的一个划分一一对应,集合X的不同划分,对应集合X上的不同的等价关系
- 整数集I上的以m为模的同余关系是一种重要的等价关系
- 给定非空集合X上的等价关系R,每一个X上的元素都有等价类,根据对称性和传递性,如果x和y有关系R,则它们生成的等价类是相同的;所有不同等价类构成的集合称为X关于R的商集,即X关于R的商集就是集合X的一个划分,商集中的每一个元素就是集合X的对应划分的一个块。
第7章 函数
- 判断哪些是函数(2);求函数(6)
- 函数复合的计算(8);函数复合的相关证明(10)
- 证明单射/满射/双射(14 17);多少中单射/双射(16)
- 利用特征函数的性质证明等式
7.1 基本概念
-
函数:关系
满足单值性 -
从X到Y的函数
,即处处有定义
是函数,即单值性 -
象、象源:对于函数
, 为在 作用下 的象, 为 的一个象源。 -
常用函数
- 恒等函数:
- 后继函数:
- 地板函数:
- 天花板函数:
- 恒等函数:
-
限制与开拓:设函数
,又 ,则 是从 到 的函数,称为 受限制于 ,记为 ,又称 为 的开拓。
只是去掉那些以不在 中的元素为第一元的有序偶,将定义域改为 。 -
象:设函数
, 。称集合 为 在 下的象,记为 。- 显然,整个定义域的象
成为函数 的象,即 的值域,也即: 。 - 由函数
派生出函数 。
- 显然,整个定义域的象
-
从X到Y的偏函数(不要求定义域为整个X):设
是从集合 到 的关系。若对每个 存在唯一 使得 ,则称 为从 到 的偏函数,又称为部分函数 是从集合 到 的函数当且仅当 为从 到 的偏函数
-
Y上X:用
表示所有从 到 的函数组成的集合,即 ,读作“ 上 ”- 若
和 都是有穷集合,则 - 设
, ,则 可有 种选择,所以 - 对于任意集合
, - 若
是非空集合,则 - 设
是全体命题变元组成的集合,则 是全体真值赋值组成的集合。
- 若
-
函数和一般关系的差别(对于有限集合
)- 集合个数存在差别:从
到 的不同关系共有 个,从 到 的不同函数有 个 - 集合的基数(集合内元素的个数)存在差别:每一个关系的基数可以从
一直到 ,每一个函数的基数都为 个 - 集合元素的第一元存在差别:关系的第一元可以相同,函数的第一元一定互不相同。
- 集合个数存在差别:从
7.2 函数的复合
-
若
且 ,则函数的复合 是一个从 到 的函数,即 ,且对所有的 , 。 -
f的n次复合
;设 , 定义如下: -
多元函数:若函数
的定义域是 个集合的笛卡尔乘积,则称 为 元函数,并将 记为- 若
,则称 为 上的二元运算,常采用中缀记法,将 记为 ,如实数加法 。
- 若
7.3 特殊性质的函数
-
设函数
- 满射:
- 单射:即只要
,就有 - 双射/一一对应:即是单射又是满射
- 具有上述特性的函数分别称满射函数,单射函数,双射函数。
- 满射:
-
对于实函数
,即 ,可以通过 的图像判断 是不是满射、单射、双射 是满射当且仅当,每条与横轴平行的直线与 的图像至少有一个交点。 是单射当且仅当,每条与横轴平行的直线与 的图像至多有一个交点。 是双射当且仅当,每条与横轴平行的直线与 的图像恰好有一个交点。
-
设
是从 到 的函数, 是从 到 的函数- 若
和 都是满射,则 是满射。 - 若
和 都是单射,则 是单射。 - 若
和 都是双射,则 是双射。
- 若
-
常值函数:
-
关于逆函数
- 若
单射,则 单值。 - 若
满射,则 处处有定义。 - 定理7.4:若
双射,则 也是双射函数。若 不双射,则 不是函数
- 若
-
反函数:设
是双射函数,称 的逆关系 为 的反函数。 -
可逆:设
,如果存在 使得 且 ,则称 为可逆的。 -
定理7.5:若
是双射,则 且 -
定理7.6:设双射
及双射 , 当且仅当 且 。
-
定理7.7:若双射
及双射 ,则 也是双射,并且 -
补充:双射集合构成群
设 是所有从 X 到 X 的双射函数组成的集合- 封闭性:对于任意
, 和 都 。(此性质也称为复合运算的闭包性) - 结合律:对于任意
, - 有单位元:
,对于任意 , - 有逆元:对于任意
,存在反函数 ,
是群
- 封闭性:对于任意
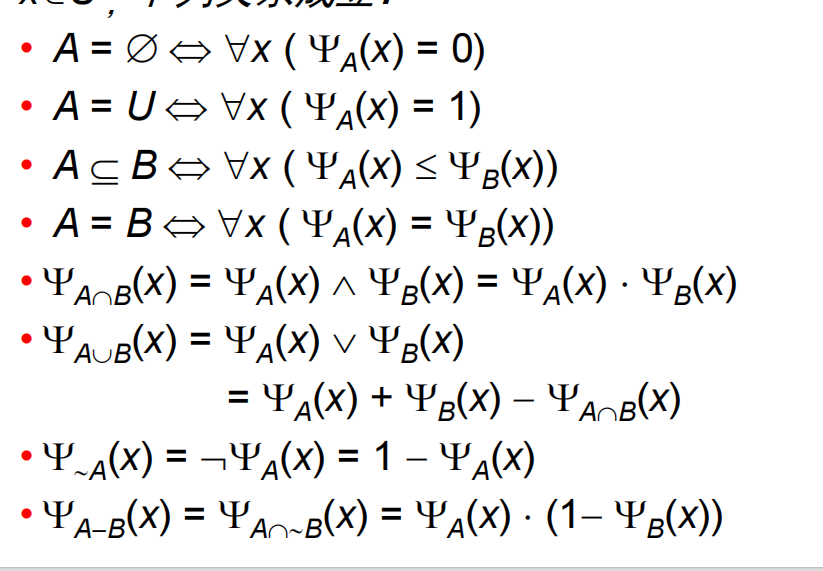
7.4 集合的特征函数
- 特征函数
: 设 是全集 的子集, 的特征函数 定义为若 若 - 设
是全集 的任意两个子集,则对于所有 ,下列关系成立
图论
第9章 基本概念
9.1 有向图及无向图
- 有向图
(digraph)、无向图 、有限图、带权图
9.2 图的基本结构
-
关联、相邻、邻接
- 点和点:邻接
- 点和边:关联
- 边和边:相邻
-
简单图
- 自环
- 在有向图中,始点和终点分别相同的两条弧称为平行弧。在无向图中,两个顶点之间的两条边称为平行边。
- 有平行弧的有向图称为多重弧图,有平行边的无向图称为多重边图。多重弧图和多重边图统称为多重图。
- 无自环和平行弧(或平行边)的图称为简单图。
- 对于简单有向图
, 是 上的反自反关系(因为不存在自环),它的图形表示是 的关系图。
-
顶点的次数(degree)
- 引出弧、引入弧
- 引出次数、引入次数(有向图)
- 次数(有向图、无向图):因为无向图中与
关联的自环的两个端点都是 ,所以应将自环计为两条边。 - 孤立点:次数为 0 的顶点
- 悬挂点:次数为 1 的顶点
- 悬挂边:与悬挂点关联的边
- 零图:每个顶点都是孤立点的图
- 平凡图:1 阶零图,即仅由一个孤立点构成的图称为平凡图
-
握手定理
- 对于顶点集合为
的 有向图, - 对于顶点集合为
的 有向图, - 次数为奇数的顶点称为奇顶点,次数为偶数的顶点称为偶顶点。
- 在任何图中,奇顶点的个数必为偶数。
- 对于顶点集合为
-
正则图:无向图
的所有顶点的次数都是同一个数 ,则称 为 次的正则图。 -
无向完全图
任何两个顶点之间都有一条边的简单无向图称为完全图,将 n 阶完全图记为 。 是 次正则图,它的边数为 -
有向完全图
任意两顶点之间都恰有一条弧的简单有向图称为有向完全图,也称为竞赛图。在 阶有向完全图中,每个顶点的次数都是 ,边数为 。 -
图的同构
- 无向图:设
和 是两个无向图。若存在双射 使得, 当且仅当 ,并且重数相同,则称 和 是同构的。 - 有向图:设
和 是两个有向图。若存在双射 使得, 当且仅当 ,并且重数相同,则称 和 是同构的 - 性质(必要但不充分)
- 同样的顶点数。
- 同样的边数。
- 对于任意自然数
,次数为 的顶点数一样多。 - 有同样多的自环。
- 无向图:设
9.3 子图
-
子图/部分图、真子图
-
补图:设
和 是图 的两个子图。若 ,并且 ,则称与 关 联 是 中 孤 立 点 为 相对于 的补图。 -
无向图
- 导出子图:(点不一定全,边也不一定全,但只要两边的点都有就一定有边)设
是 的子图。若 ,则称的 端 点 都 在 中 为 的由 导出的子图,或简称 的导出子图。 - 生成子图:(只要求点是全的,边不一定全)设
是 的子图。若 ,则称 为 的生成子图。 - 去点运算、去边运算
- 加法运算:设无向图
中顶点 和 不相邻,在 中增加边 得到的图记为 。 - 图的并集
- 导出子图:(点不一定全,边也不一定全,但只要两边的点都有就一定有边)设
-
有向图的导出子图:(点不一定全,边也不一定全,但只要两边的点都有就一定有边)设
是有向图= 的子图,如果 的各条弧是由 的所有在 中拥有始点和终点的那些弧所组成,即 ,则称的 始 点 和 终 点 都 在 中 为顶点集合 所导出的子图,或简称图 的导出子图。
9.4 连通性
9.4.1 有向图 通路 回路 连通
-
通路:在有向图
中,首尾相接的弧的序列 称为通路。 -
长度
-
简单通路:无重复边
-
基本通路:无重复点
-
基本通路必是简单通路,简单通路未必是基本通路。
-
回路:(一圈)始点终点相同
-
简单回路:一圈+无重复边
-
基本回路:一圈+除了始点终点无重复点
-
无回路图:没圈
-
半通路(有边)、通路(有同向边)
-
u连接到v、u可达v(从
到 有“正向”边):若存在从顶点 到顶点 的半通路,则说 连接到 。若存在从顶点 到顶点 的通路,则说 可以到达 。
可达关系是顶点集 上的自反的、传递的关系。 -
若从顶点
可以到达顶点 ,则存在从 到 的基本通路。 -
到 有通路,则必有基本通路,且最短通路必是基本通路;从而 到 无基本通路,则必无通路 -
从u到v的距离
当且仅当- (三角不等式)
- 在
阶有向图中,任何基本通路的长度都不超过 ,任何基本回路的长度都不超过 。从 到 的 最 短 通 路 的 长 度 从 可 到 达
-
强联通的、3度连通的:(任意两点互相可达)
-
单向连通的、2度连通的:(任意两点至少一个方向可达)
-
弱连通的、1度连通的:(任意两点互相连接)
-
不连通的、0度连通的:(不弱连通)
-
完备通路:称通过有向图中所有顶点的通路为完备通路。
-
完备回路:称通过有向图中所有顶点的回路为完备回路。
-
完备半通路:称通过有向图中所有顶点的半通路为完备半通路。
-
有向图
是强连通的当且仅当 有一条完备回路。 -
有向图
是单向连通的当且仅当 有完备通路。 -
有向图
是弱连通的当且仅当 有完备半通路。
9.4.2 无向图 链 连通
- 链、长度
- 简单链:(各边不同)
- 基本链:(各点不同)
- 闭合链:(第一个点和最后一个点相同)
- 圈:(第一个点和最后一个点相同且各边不同)
- 从u到v的距离
- (对称性)
- (三角不等式)
当且仅当从 到 的 最 短 通 路 的 长 度 从 可 到 达
- (对称性)
- 连通:有链
- 图的连通:若无向图
中任何两顶点都是连通的,则称 是连通的,否则说 是不连通的。 - 连通分支:无向图
的顶点之间的连通关系是等价关系。每个等价类是顶点集的一个非空子集。由等价类导出的子图称为 的连通分支,等价类的数目即连通分支的数目。
图 是连通的当且仅当 只有一个连通分支。 - 割点:设
是连通无向图 的顶点,如果从 中去掉 和与它关联的边得到的无向图 是不连通的,则称 为 的割点。 - 割边/桥:设
是连通无向图 的边,如果从 中去掉 得到的无向图 是不连通的,则称 为 的割边或桥。
9.5 顶点基和强分图
9.5.1 顶点基
- 设有向图
, , 。若从 中某个顶点可以到达 ,则称从 可以到达 。 - 顶点基:(可达所有点且极小)设有向图
, 。若从 可以到达 中每个顶点(相当于 可以到达 中的每个顶点,因为 中的点可以到达自身),并且 的每个真子集都不能到达 中每个顶点,则称 为 的顶点基。
9.5.2 强分图
- 强分图:(极大的强连通子图)设
是有向图。若 是 的强(单向、弱)连通子图,并且对于 的任意强(单向、弱)连通子图 ,若 ,则 ;那么就称 为 的强(单向、弱)连通分图,或强(单向、弱)分图。 - 定理9.8:在有向图
中,每个顶点在唯一的强分图中,每条弧至多在一个强分图中。- 即在一个有向图中没有不在强分图中的顶点;任意两个强分图都没有公共顶点
- 若弧
在两个强分图中,则它的端点在两个强分图中。
9.5.3 压缩
- 压缩:(强分图之间的弧组成的图)设有向图
的强分图的顶点集为 ,有向图 定义为 ,
- 定理9.9:有向图
的压缩 是无回路图。 - 定理9.10:无回路有向图(如压缩)
有唯一的顶点基,它由所有引入次数为 0 的顶点组成。
- 定理9.11:(压缩的顶点基中每个元素取出一个顶点可以构成原图的顶点基)设
是有向图 的压缩, 是 的唯一顶点基,则从 的每个元素中取出一个顶点构成的集合 是 的顶点基,并且 的每个顶点基都可以这样得到。 - 定理9.12:有向图
的每个顶点基都包含同样数目的顶点。
9.6 总结
- 根据图的结构特点,定义出多种图的名称
无向图、有向图、带权图、邻接、关联、相邻、自环、平行弧/边、多重图、简单图、次数、n阶图、零图、平凡图、完全图 - 对于图和图之间的比较,定义出多种图的名称
补图、正则图、同构图、子图(生成子图和导出子图)、图的并集 - 考察不相邻节点之间的关系,定义出新的概念
通路及回路、简单通路及回路、基本通路及回路、可达、半通路、连接到、强(单向/弱)连通、完备通路(回路/半通路)、链、简单链、基本链、闭合链、圈、连通分支 - 根据连通图中特殊点和边的特点,定义出新的概念
割点、割边/桥、顶点基、强分图(单向分图/弱分图)、压缩
第10章 通路问题
10.1 最短通路
- 弧
的长度 、通路 的长度 、从 到 的最短通路、从 到 的距离
10.2 关键通路
-
工序流线图是满足以下条件的简单带权有向图:
- 没有回路。
- 有唯一的引入次数为 0 的顶点,称其为发点。
- 有唯一的引出次数为 0 的顶点,称其为收点。
- 每个顶点都在某条从发点到收点的通路上。
- 每条弧的权是非负实数。
-
最早完成时间:在工序流线图中,从发点
到事件 的最长通路的长度称为事件 的最早完成时间,记为 。
-
最迟完成时间:给定工序流线图,在保证收点
的最早完成时间不增加的前提下,自发点 最迟到达事件 的时间称为 的最迟完成时间,记为 。
-
关键通路:在工序流线图中,从发点到收点的最长通路称为关键通路。
-
事件
在某条关键通路上当且仅当它的最早完成时间和最迟完成时间相等。 -
缓冲时间:给定工序流线图
, ,定义 的缓冲时间 。- 事件
的发生可以比预定的最早完成时间推迟缓冲时间 ,而不会影响整个工程的进度。 - 关键通路上的所有事件的缓冲时间都是0,即它们都要准时发生,不能推迟,并且关键通路上的工序都要按时完成,不能推迟。
- 事件
第11章 图的矩阵表示
11.1 邻接矩阵
11.1.1 有向图的邻接矩阵
-
-
对于简单有向图
来说,邻接矩阵 M 为 A 的关系矩阵。
因为简单图没有自环,所以邻接矩阵 M 的主对角线全为 0。 -
定理11.1:设
是有向图, , 是 的邻接矩阵, ,则 是从顶点 到顶点 的长度为 的通路的条数。 是 到 的最短通路的长度,所以其是使 中第 行第 列的元素有非零值的最小正整数- 对于
和 ,如果= 中第 行第 列的元素均为0,又结合定理9.4(任何基本通路的长度不超过n-1),则可得从 到 不存在任何通路,因而属于不同的强分图。
11.1.2 无向图的邻接矩阵
-
-
特别地,对于简单无向图来说
简单无向图G 的邻接矩阵M 是对称矩阵
主对角线元素都是0 -
定理11.2:设
是无向图, , 是 的邻接矩阵, ,则 是从顶点 到顶点 的长度为 的链的条数。
11.2 有向图的可达性矩阵
-
可达性矩阵:设有向图
, , 的可达性矩阵 定义为若 可 达 否 则 因为每个顶点可以到达自己,所以任何有向图的可达性矩阵的主对角线元素全为1
设 和 分别是 阶有向图 的可达性矩阵和邻接矩阵,则 ,其中 是 阶单位矩阵。 -
布尔函数
-
可达矩阵的应用:求包含指定顶点的强分图以及此强分图中所含顶点的数目。
-
元素积:设
且 ,称 为 和 的元素积。 -
定理11.4:设
是有向图 的可达性矩阵,并设 ,则- 由
的第 i 行(列)中等于 1 的元素对应的顶点导出的子图是 所在的强分图。
解释: 的 表示 i 可达 j, 的 表示 j 可达 i,故 中 的表示 i j 互达 所在的强分图有 个顶点。
与 互达的顶点数
- 由
-
设 R 和 M 分别是 n 阶有向图 D 的可达性矩阵和邻接矩阵,则
是强连通的当且仅当 的元素全为 1。 是单向连通的当且仅当 的元素全为 1。 是弱连通的当且仅当 的元素全为 1,其中 。 是无回路的当且仅当 的主对角线元素全为 0。
11.3 关联矩阵(Incidence Matrix)
11.3.1 有向图的关联矩阵
- 关联矩阵:设无自环有向图
不是零图,其中 , , 的关联矩阵 定义为矩阵若 是 弧 的 始 点 若 是 弧 的 终 点 若 不 是 弧 的 端 点 每列元素之和都是0。
若 的第 i 列与第 j 列相同,则 和 是平行弧。
的第 i 行中 1 的个数 = 顶点 的出度,
的第 i 行中 −1 的个数 = 顶点 的入度。
11.3.2 无向图的关联矩阵
- 关联矩阵:设无自环有向图
不是零图,其中 , , 的关联矩阵 定义为矩阵与 的 关 联 次 数 每列元素之和都是 2
若 的第 i 行第 j 列是 2,则 是 上的自环
若 的第 i 列与第 j 列相同,则 和 是平行弧
的第 i 行元素之和 = 顶点 的度
第12章 树
12.1 树的一般定义
-
树:连通且无圈的无向图称为树。
-
林:无圈的无向图称为林。林是每个连通分支都是树的无向图。
-
树的等价定义
设 是 无向图。以下说法是等价的。 连通且无圈。 无自环,并且每对顶点之间有唯一基本链。 连通,在 中加一边仅有一个圈。 连通,去掉任何一边就不连通了。 连通,并且 。 无圈,并且 。
-
树叶、分支顶点
-
定理12.3:非平凡树中至少有两片树叶
12.2 根数与有序树
-
有向树:将一个树的边加上任意的方向,就得到有向树。任何有向树都是弱连通的无回路有向图,但是弱连通的无回路有向图未必是有向树(如下图)。
-
树根、根数:若有向树 T 有一个顶点的引入次数为0,其余顶点的引入次数都为 1,则称 T 为根树。称根树中引入次数为 0 的顶点为树根。
-
树叶、分支顶点、级:从树根到一个顶点的通路的长度称为该顶点的级。
-
树高:根树中顶点的级的最大值称为树高
-
有序树:称为顶点或弧指定了次序的根树是有序树。若从顶点 u 可以到达 v ,则称 v 为 u 的后裔, u 为 v 的祖先。若 < u, v > 是弧,则称 v 为 u 的儿子,u为 v 的父亲,同一顶点的儿子互为兄弟。
12.3 二元树
- m元树、完全m元树、位置m元树
- 每个顶点的引出次数都小于等于 m 的根树称为 m 元树。
- 每个顶点的引出次数都等于 m 或 0 的根树称为完全 m 元树。
- 若为 m 元树 T 中每个顶点的各儿子规定了位置,则称 T 为位置 m 元树。
有序树转换为位置二元树的算法
-
若 u 是原来有序树的树根,则它仍然是转换后的位置二元树的树根。
-
在原来有序树中,
- 若顶点 u 是 v 的大儿子,则在转换后的位置二元树中,u 是 v 的左儿子;
- 若顶点 u 是 v 的大兄弟,则在转换后的位置二元树中,u 是 v 的右儿子。
-
每个弱分图都是有序树,并且为各有序树规定了顺序的有向图称为有序林。如果称排在前面的有序树的树根是排在后面的有序树的树根的哥哥,并规定转换后的位置二元树的树根是有序林中第一个有序树的树根,则可按照上面的算法将有序林转换为位置二元树。
前缀码
- 若存在非空符号串
使得 ,则称符号串 是符号串 的前缀。设 A 是字母表 {0, 1} 上的语言,若不存在 , A 使得 是 的前缀,则称 A为二元前缀码。
例如,{00, 10, 11} 是二元前缀码, {1, 00, 10, 11} 不是二元前缀码 - 二元树和二元前缀码
让位置二元树中的每个顶点对应一个 {0, 1} 上的字,令所有树叶对应的字的集合为该位置二元树产生的二元前缀码。- 顶点对应的字归纳定义如下:
- 树根对应空字
。 - 若顶点 u 对应字
,则 u 的左儿子对应 , u 的右儿子对应 。
- 树根对应空字
- 每个顶点对应字的长度等于该顶点的级。从顶点 u 可以到达另一顶点 v 当且仅当 u 对应的字是 v 对应的字的前缀。因为从一个树叶不可能到达另一树叶,所以位置二元树产生的语言是二元前缀码。反之,任意二元前缀码都可由一个位置二元树产生。
- 顶点对应的字归纳定义如下:
最优二元树
- 带权二元树
的权 、最优二元树。 - 设
,则存在一个带权 的最优二元树使得权为 和 的树叶是兄弟。 - 设
, 是带权 的二元树。为 中带权 的树叶增加两个分别带权 的儿子得到带权 的二元树 。那么, 是带权 的最优二元树当且仅当 是带权 的最优二元树 - Huffman算法
12.4 生成树
-
若无向图 G 的生成子图 T 是树,则称 T 为 G 的生成树。
-
设 T 是无向图 G 的生成树。称 T 中的边为 T 的树枝,称 G 的不在 T 中的边为 T 的弦,弦的集合称为 T 的补。(n, m) 无向图 G 的任何生成树有 n − 1 个树枝,m − n + 1 条弦。当然, G 的某条边可能是这棵生成树的树枝,却是另一棵生成树的弦
-
定理12.7:无向图 G 有生成树当且仅当它是连通的。
-
基本圈、基本圈组:(n, m) 无向图 G 的生成树 T 有 m − n + 1 条弦。任取 T 的一条弦 e , T + e 有唯一的圈,它由树枝和弦e 组成,称这样的圈为对应于弦 e 的基本圈。由这 m− n + 1 个基本圈组成的集合称为关于生成树 T 的基本圈组。
最小生成树
12.5 割集
-
割集(最小的 能把图分成两块的边的集合):设连通无向图
, 。若 不连通,即 分离成为两个连通分支,并且对于任意 , 仍然连通,则称 为 的割集。
割集的等价定义: 是连通无向图 的割集当且仅当存在 的划分 使得 ,并且 导出的子图和 导出的子图都是连通的。 -
桥:
是 中的桥当且仅当 是 的割集。 -
基本割集(一个树枝一堆弦)、基本割集组:设
是 连通无向图 的生成树。因为从 中去掉所有弦后仍连通,所以每个割集中必有树枝。因为从 中去掉所有弦和一个树枝后不再连通,所以,对于每个树枝都存在由它和若干弦组成的割集。我们称只包含一个树枝的割集为基本割集。显然,有 n −1个基本割集。称由这 n −1 个基本割集组成的集合为关于生成树 的基本割集组。 -
定理12.8:每个圈与任何生成树的补(即弦的集合)至少有一条公共边,即每个圈中都包含弦。
-
定理12.9:每个割集与任何生成树至少有一条公共边,即每个割集中都包含树枝。
-
定理12.10:任何圈和任何割集都有偶数条(包含零条)公共边。
-
定理12.11:给定图
的生成树 。设 是基本割集,其中 是树枝, 是弦,则 包含在对应于 的基本圈(一个弦一堆树枝)里,但不包含在任何其它基本圈里。 -
定理12.12:给定图
的生成树 。设 是基本圈,其中 是弦, 是树枝,则 包含在对应于 的基本割集(一个树枝一堆弦)中,但不包含在任何其它基本割集中。
第13章 穿程问题
13.1 欧拉图
无向图中的欧拉图
- 欧拉圈、欧拉图:称穿过无向图中每条边的简单闭合链为欧拉圈。有欧拉圈的图称为欧拉图。
- 若无向图
中每个顶点的次数大于1,则在 中存在圈。 - 定理13.1:连通无向图
是欧拉图当且仅当 的每个顶点都是偶顶点。 - 欧拉链:称穿过无向图
中每条边的简单非闭合链为欧拉链。(注意:欧拉链一般不是基本链) - 定理13.2:在连通无向图
中存在连接顶点 和 的欧拉链当且仅当只有 和 是奇顶点。
一笔画问题
从无向图的一个顶点出发,笔不离纸,不重复地画出该图的所有边。
- 若连通无向图只有偶顶点,则从任意顶点出发,可沿欧拉圈不重复地一笔画出所有边,并回到出发点。
- 若连通无向图只有两个奇顶点,则从一个奇顶点出发,可沿欧拉链不重复地一笔画出所有边,并到达另一个奇顶点。
- 若连通无向图有多于两个奇顶点,则不能不重复地画出该图的所有边。
有向图中的欧拉图
- 欧拉回路、欧拉图:称穿过有向图中每条弧的简单回路为欧拉回路。有欧拉回路的有向图称为欧拉图。
- 欧拉通路:称穿过有向图中每条弧且非闭合的简单通路为欧拉通路。
- 强连通有向图
是欧拉图当且仅当 中每个顶点的引入次数与引出次数相同。 - 单向连通有向图
有从顶点 到 的欧拉通路当且仅当 的引出次数比引入次数大1, 的引入次数比引出次数大1, 中其它顶点的引入次数与引出次数相同。
13.2 哈密顿图
-
哈密顿圈、哈密顿回路、哈密顿图
- 称穿过无向图
中每个顶点一次且仅一次的圈为哈密顿圈。 - 称穿过有向图
中每个顶点的基本回路为哈密顿回路。 - 有哈密顿圈或哈密顿回路的图称为哈密顿图。
- 称穿过无向图
-
哈密顿链:称穿过无向图
中每个顶点的基本链(顶点不同的链)为哈密顿链。 -
哈密顿通路:称穿过有向图
中每个顶点的基本通路为哈密顿通路。 -
从哈密顿回路中去掉一条弧就成为哈密顿通路,从哈密顿圈中去掉一条边就成为哈密顿链。哈密顿回路是完备回路,哈密顿通路是完备通路,所以有向哈密顿图是强连通的,存在哈密顿通路的有向图是单向连通的。存在哈密顿链的无向图是连通的。
-
哈密顿图的必要条件(只能判断不是哈密顿图):若无向图
是哈密顿图,= 是 的非空真子集,则 。其中 是从 中删除 中所有顶点及它们关联的边所得子图的连通分支数。
-
哈密顿链的必要条件(只能判断不是哈密顿链):若无向图
有哈密顿链,= 是 的非空真子集,则 。其中 是从 中删除 中所有顶点及它们关联的边所得子图的连通分支数。
-
哈密顿链的充分条件:若
阶简单无向图 中每对不相邻顶点次数之和 ,则在 中存在哈密顿链。 -
哈密顿图的充分条件:设
,若 阶简单无向图 中每对不相邻顶点次数之和 ,则 是哈密顿图。 -
定理13.4:在有向完全图中必存在哈密顿通路。
-
凡是强连通的有向完全图一定有哈密顿回路。
第14章 二分图的匹配问题
14.1 基本概念
-
二分图、互补顶点子集:设
是无向图。若可以将 分成两个非空子集 和 ,并且使得同一子集中的任何两个顶点都互不邻接,则称 为二分图。并称 和 为 的互补顶点子集。即二分图的每条边都连接着 中的一个顶点和 中的一个顶点。或者说任何一条边的两个端点,必然一个在 中,一个在 中。
若非平凡图 的每个连通分支都是二分图或平凡图,则 是二分图。
二分图中必没有三角形的圈。 -
完全二分图:设
和 是二分图 的互补顶点子集,若 中每个顶点都与 中每个顶点邻接,则称 为完全二分图。互补顶点子集分别有 个顶点和 个顶点的完全二分图记为 。
左图是 ,右图是 。
-
若无向图
中有长度为奇数的闭合链,则在 中有长度为奇数的圈。 -
定理14.1:非平凡无向图
是二分图当且仅当 的每个圈的长度都是偶数。
判断是不是二分图:构造两个点的集合,证明二者互补
- 匹配(二分图左边的点和右边的点相连,每个点最多连一条线):设
是二分图, 。若 中任何两条边都不相邻,则称 为 的匹配。
中的边一定把 中的一些顶点和 中的相同数目的一些顶点一一配成对。
中不一定把 中的顶点都包括了。
14.2 二分图的最大匹配
- 最大匹配:在二分图
的所有匹配中,边数最多的匹配称为最大匹配。 - 交错链:设
是二分图 的匹配, 是 中的基本链。若 中任何相邻的两条边中恰有一条属于 ,则称 为关于 的交错链,或简称为交错链。(即交错链中属于M的边和不属于M的边是交替出现的) - 饱和顶点/非饱和顶点:设
是二分图 的匹配,称与 中的边关联的顶点为 的饱和顶点,称不与 中任何边关联的顶点为 的非饱和顶点。 - 可扩充链:两个端点都是匹配
的非饱和顶点的交错链称为关于 的可扩充链。
可扩充链长度一定是奇数
不在匹配中的边比在匹配中的边多一条
可扩充链的两个非饱和端点,一定一个属于X,一个属于Y
若将可扩充链中原来属于匹配的边从匹配中去掉,而将原来不属于匹配的边加入匹配中,则可得到多一条边的新匹配。 - 定理14.2:二分图
的匹配 是最大匹配当且仅当 中不存在关于 的可扩充链
14.3 从X到Y的匹配
-
从X到Y的匹配:设
和 是二分图 的互补顶点子集, 是 的匹配。若 中每个顶点都是 的饱和顶点,即是 中某条边的端点,则称 为从 到 的匹配。
显然,若存在从 到 的匹配,则 。
若 是从 到 的匹配,则 是最大匹配。 -
的邻域 :设 ,所有与 中顶点相邻的顶点组成的集合称为 的邻域,记为 。显然, 。 -
定理14.3 从X到Y的匹配的充要条件:设
和 是二分图 的互补顶点子集。 中存在从 到 的匹配当且仅当满足以下相异性条件:对于 的任意子集 , 。 -
从X到Y的匹配的算法:
- 先任意找
中一个匹配 作为初始匹配. - 如果
还不是从 到 的匹配, 即有 为非饱和顶点. - 根据相异性条件, 设
有邻接顶点 :- 若有某个
为非饱和顶点, 则可扩充 进 ; - 若这
个邻接顶点都是饱和顶点,- 则可构造
条以 为起点的交替链, - 并基于相异性条件, 必可找到一条可扩充链.
- 则可构造
- 若有某个
- 先任意找
-
定理14.4 t条件 从X到Y的匹配的充分条件:设
和 是二分图 的互补顶点子集。若存在正整数 ,使得 中每个顶点的次数 ,而 中每个顶点的次数 ,则 中存在从 到 的匹配。
判断二分图是否存在从
- 先用定理14.4
- 成立:存在
- 不成立:用定理14.3
- 成立:存在
- 不成立:不存在



























































































