1 一维
1.1 离散随机变量&离散分布
- 概率分布函数:
(随机变量 )
特别地,如果 取值包含连续区间,任一点的原像概率为0,即 - 概率分布函数的性质
- 概率分布函数的充要条件
单 调 非 减 , ,
- 推论
- 概率分布函数的充要条件
常见离散分布
离散随机变量:随机变量取值为有限或可数个时,称为离散随机变量。记其值为
1 两点分布
取值为 或 时的概率分布: ,记为- 概率模型:一次试验是否成功
2 二项分布
- 随机变量
的取值为 且满足, , ,称其满足二项分布,记为 - 概率模型:N次独立试验中的成功次数。
- 应用:投票权大小(委员会组成);比赛规则(三局两胜,五局三胜)
3 几何分布(Geom(p))
- 随机变量
的取值为自然数N,且满足 ,其中 - 概率模型:重复试验直到首次成功时的试验次数。
- 应用:离散等待时间和无记忆性
4 超几何分布
- 随机变量
取值为 ,且满足 ,称其满足超几何分布,记为 - 概率模型:从
大样本中抽取小样本 , 是 中特别一类(如次品),则 中次品个数 服从超几何分布。也是无放回抽签中的中奖个数的分布 - 数学近似:较大N,M时,可以用二项分布
逼近,既有放回和无放回差别不大
5 泊松分布
- 随机变量
取值为 ,满足 为正整数,称其满足泊松分布,记为, , 。 - 概率模型:大量试验中的小概率事件发生次数。每年发生战争的次数,某一小时进入某邮局的顾客数,寿命超过100岁的人数
- 数学近似:二项分布B(n,p),当n大p小,np合适大小时,可用
的泊松分布近似计算。
例:设二项分布B(100,0.01),计算 ;
用Poisson分布 逼近,有 ,可见误差不大
1.2 连续随机变量&连续分布
- 连续随机变量:
(随机变量 取值为实数中区间)。特别称 是 的概率密度函数(probability density),可以记为 ,概率密度函数常常简称PDF。
tips:随机变量的取值可能既包含离散值,也包含区间,可以称为混合型随机变量 - 概率密度函数的性质
- 密度函数的充要条件:
- 分布函数F(x)与密度函数f(x)的关系
(除有限点);
- 密度函数的充要条件:
常见连续分布
1 均匀分布
如果连续随机变量X的密度函数满足
记为
- 概率分布函数:
- 概率模型:等可能事件的推广
2 指数分布
如果连续随机变量X的密度函数满足
记为
- 概率分布函数:
几何分布与指数分布: - 模型:小概率事件之间的间隔时间(等待时间)
下一次类似汶川地震发生的时间;人或机器的寿命;排队时间; - 指数分布的无后效性:(在指数分布过程中,未来的事件发生概率只与当前时刻有关,与之前的事件无关;对于任意时间点t,事件在未来时间段Δt内发生的概率只依赖于Δt的长度,而与t无关)
排队等待概率:设有两个窗口,两个人正在办理,每个人的办理时间服从指数分布 ,设你是下一个,则你最后办完的概率为 - 失效函数(失效率、死亡率):定义
为分布F的失效函数。
解释:寿命到达t时刻后在dt内失效的概率。
指数分布的失效函数为常数 ,称为死亡率,一般情况下是一个变化的函数
3 正态分布(高斯分布,Bell曲线Normal)
如果连续随机变量X的密度函数满足
特别称
- 概率分布函数:无初等表达式,需要查表。
定义:任意 ,存在 ,使得 ,称 是概率分布F的 分位数 - 模型:大量物理或生物数据的特征指标;
高斯分布:研究测量误差的分布;IQ分数,成绩; - 本质上是二项分布的逼近:n充分大当可用正态分布近似计算。
3.1 标准正态分布
-
密度函数
-
分布函数
。 -
定理:
。(利用二重积分和极坐标公式证明) -
概率密度函数性质:关于0点对称,0点最大,两边单调。
-
概率分布函数性质:
-
标准正态分布表:一般记
。 为 分位数,满足 。
标准正态分布的常见分位数:
3.2 正态分布及分位数
- 正态分布的线性变换:如果
,则 - 正态分布的取值分布:短尾分布(尾部即与分布的两段衰减的很快)
,
应用: 或 管理的概率:
1.3 复合随机变量&分布
- 概率积分变换:设给定连续随机变量X的概率分布函数
是严格单调,有- 如果U是[[0,1]上的均匀分布,则
的概率分布函数是 是[[0,1]上的均匀分布
- 如果U是[[0,1]上的均匀分布,则
- 正态分布的线性变换:
设 则 服 从 。
- 折叠正态分布:
设 则 服 从 。 - 正态分布的平方
分布:
设 则 服 从 分 布 , 。 - 符合随机变量的密度函数(公式不用背,可以硬求())
设X的密度函数 ; 的取值范围为 ,对任意 ,设其原像可以写成有限点(则 )。每一个可以写成一个逆函数有 限 ;则Y的密度函数为 。
2 二维
2.1 联合分布函数
- 随机向量的定义
- 随机向量:随机向量
是定义在样本空间 上的实值多元函数:即每一个样本点 , 是个向量。通常用 或
- 随机向量:随机向量
- 联合分布函数 (Jointed-CDF)
- 联合分布函数:
(二维随机向量 )。- 分布函数的充分必要条件:
对 或 单 调 非 减 任 意 有
- 分类:二维离散随机向量,二维连续随机向量,混合型随机向量
- 分布函数的充分必要条件:
- 联合分布函数:
2.1.1 二维离散分布
- 二维离散分布(矩阵):
( 二维随机向量),
记- 例
2.1.2 二维连续分布
- 二维连续随机向量:
( 二维随机向量, 二元非负可积函数)。 称为联合密度函数。特别:- 分布函数
- 定理:连续可微的联合分布函数有联合密度函数,所以是连续随机向量。即
- 分布函数
- 二维均匀分布:
- 二维正态分布:给定
二维随机变量,称为方程 的二维正态分布,如果其概率密度函数是:
- 参数
是均值, 是差异 是相关系数。
- 参数
2.2 边缘分布
- 边缘分布:
,可以定义随机变量 和 ,其中 ,可称为边缘随机变量,常常用 分别代替- 边缘分布函数:
;同理- 二维离散情形:可定义边缘分布列(即矩阵的行和或列和)
- 二维连续情形:存在对应的边缘密度函数
- 联合分布决定边缘分布,反之不能
- 边缘分布函数:
- 例
2.3 条件分布
- 离散情形
二维离散随机变量,记 ,记 下的条件分布律: 下的条件分布律:
- 连续情形:
连续二维随机向量的密度函数 下的条件概率密度: 下的条件分布函数:- 乘法公式
,可推广到多个随机变量。
2.4 连续二维分布的例子
1 均匀分布
圆盘上的均匀分布:求
2 正态分布
设
正态分布的边缘分布还是正态分布。边缘分布
条件分布也还是正态分布。
- 法1:由f(x,y)推导:
有分解
,易知 都是正态分布的密度函数 - 法2:硬积分
3 独立性和高维复合随机变量
3.1 独立性
- 定义
- 随机变量
称为独立的,如果任意 ,事件 与 是独立的。即 。可以推广到 个随机变量,称为独立序列。 (离散情形:相 互 独 立 )
- 随机变量
- 性质
- 常数与任意随机变量独立;
独立,则任意事件 与 都独立; 独立,任意函数 ,则 是互相独立的。
- 随机变量独立的验证和应用
- 二维正态分布的坐标随机变量相互独立的充要条件是
。
- 二维正态分布的坐标随机变量相互独立的充要条件是
3.2 二维随机向量的复合分布
- 随机向量的函数
- 随机向量
是定义在样本空间 上的实值 元向量函数, 的实值函数,记 ,则 是定义在 上的一个随机变量。一般考察二维向量,记为 - 例:
- 常见模型:
- 到达过程:随机变量求和
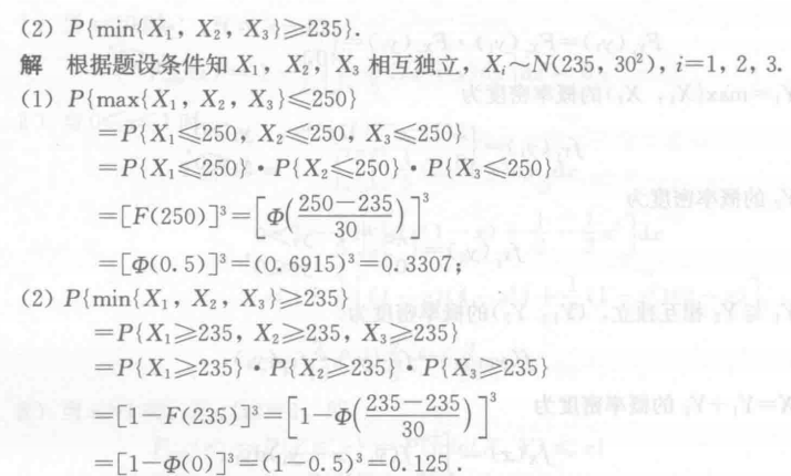
- 失效模型:随机变量的极小值
- 延迟模型:随机变量的极大值
- 到达过程:随机变量求和
- 随机向量
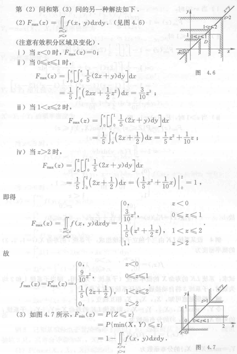
- 复合随机变量分布函数的计算
后面是沿曲线 求积分- 几何解释:相当于沿着曲线
切面包,所有切片的分布就是 的(边缘)分布 - 离散情形:
沿曲线 求和常 数
例:
常见二维随机向量函数的分布
连续情形1: 的分布
二维连续型随机变量
对任意实数
- 设
,假设随机变量互相独立,则 是两点分布 ,则 是二项分布 是几何分布,则 是负二项分布 是泊松分布 ,则 是泊松分布 是指数分布,则 是二项分布 是正态分布 ,则 是二项分布
连续情形2: 的分布
- 二维随机变量
的概率密度为 ,分布函数为 。有若 与 独 立 - n维相互独立的随机变量
,有
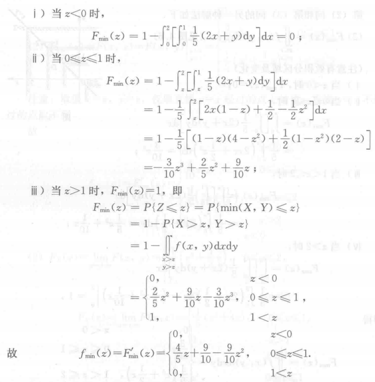
连续情形3: 的分布
- 二维随机变量
的概率密度为 ,分布函数为 。有方 法 一 方 法 二 若 独 立 - n维相互独立的随机变量
,有
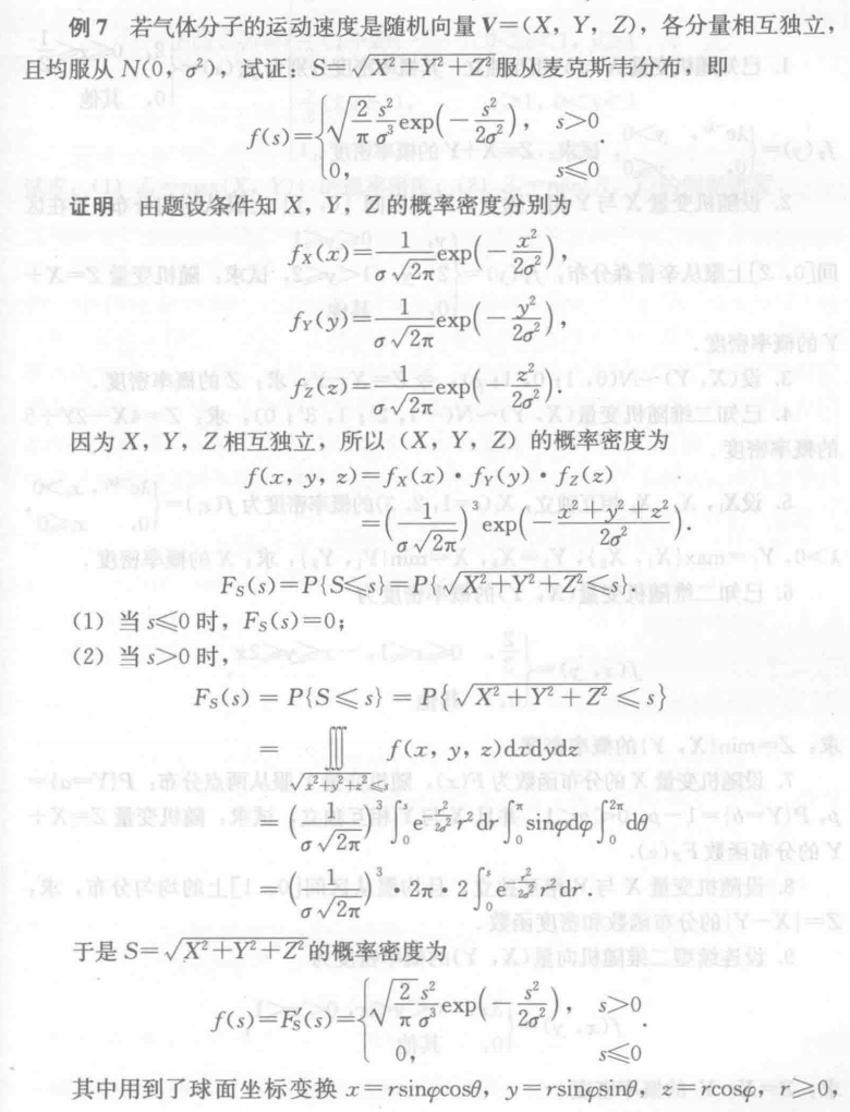
连续情形4:旋转不变的随机变量
- 极坐标变换
,有 , - 设
,则
例
- 例1
- 例2
正态分布
- 例3
- 例4
指数分布
- 例5
正态分布
- 例6
正态分布
- 例7
正态分布







































