8 参数估计
8.1 参数的点估计
8.1.1 矩估计法
用样本矩估计相应的总体(随机变量)矩。
只要总体的
具体过程
设总体
- 求出总体矩:
或 - 对总体进行随机抽样,设
为来自于总体 的样本, 为样本值; - 构造样本矩:
; - 由于:
; - 联立并解方程组求出
.
例1
例2
8.1.2 极大似然估计法
根据样本的具体情况,选择总体参数的估计,使得该样本发生的概率最大。
1 连续情形
定义
若
选取总体参数
单参数解法
- 求
- 解方程
或
多参数解法
- 求
- 解方程
例
2 离散情形
定义
若
选取总体参数
解法
同上
例1
例2
8.2 点估计的优良性
8.2.1 无偏估计
定义
设
例1
例2
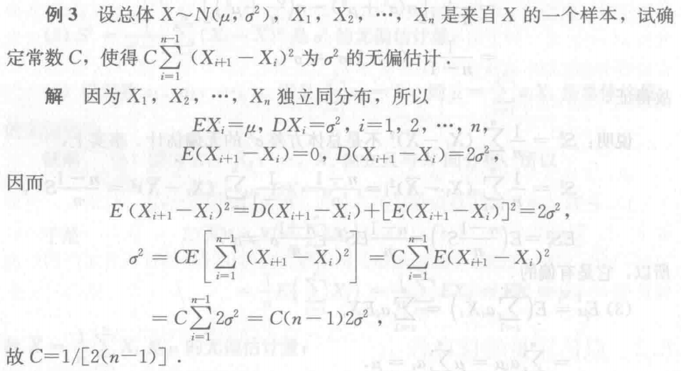
例3
8.2.2 最小方差无偏估计
定义
设
则称
若
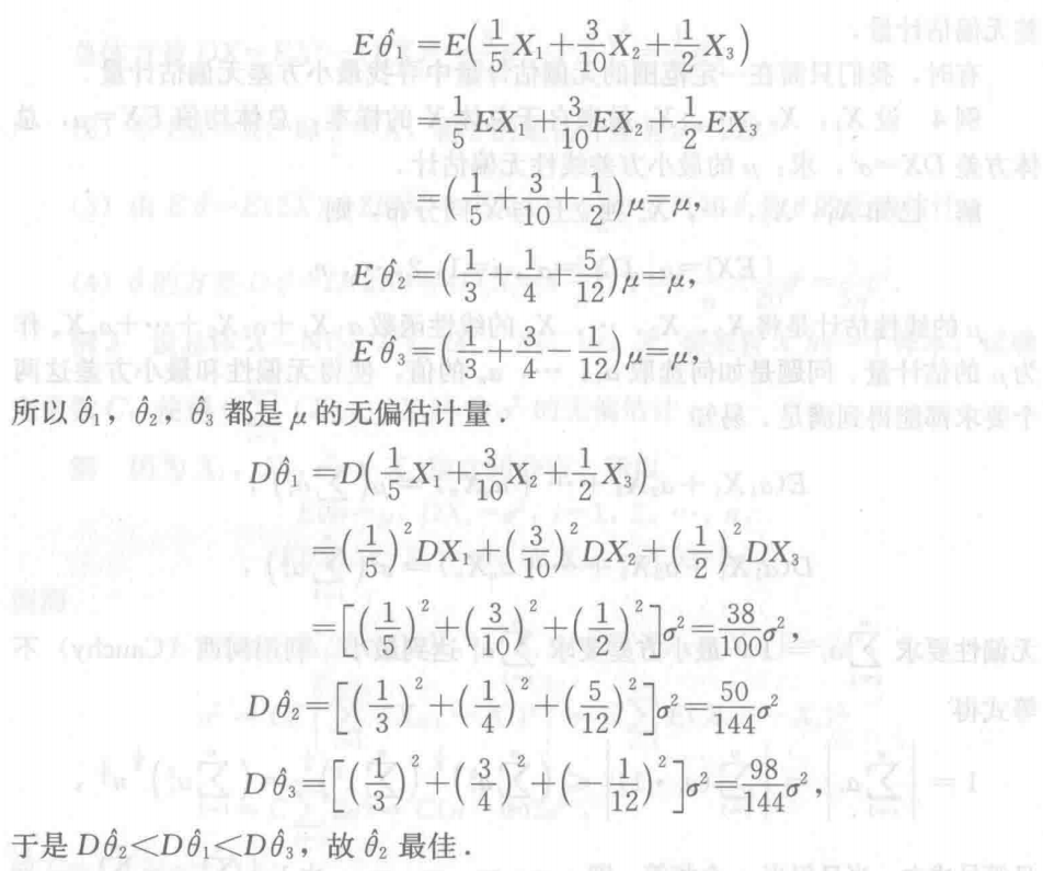
例1
例2
8.2.3 一致估计
定义
设
例1
例2
8.3 区间估计与置信区间
8.3.1 置信区间
设总体分布含有一未知参数
则称区间
注
- 统计量
和 是随机变量,区间 是置信区间。
对于
-
较小时,随机区间以较大的概率包含 -
置信区间的长度意味着误差,因此越小越好
8.3.2 单侧置信限
若对于给定的
若对于给定的
8.4 正态分布均值和方差的区间估计
8.4.1 均值 的区间估计
1.方差 已知,对 进行区间估计
设总体
求出统计量
区间
- 特别的,对于不服从正态分布的总体,只要n足够大,则由中心极限定理,随机变量
近似地服从标准正态分布,因此仍然有 作为 的置信区间
证明
例
注:标准正态分布 的 分位点
定义
设
称
分位点的性质:
或 或 或
对于给定的
即:
2.方差 未知,对 进行区间估计
设
故均值
其中
证明
例1
例2
例3
8.4.2 方差 的区间估计(总体均值未知)
设总体
方差
注
选取的临界值
证明
例
9 假设检验
9.1 假设检验的概念
先对总体的参数或总体的分布形式作某种假设
在数理统计学中,称检验假设
- 参数的假设检验
- 分布的假设检验
检验假设的理论依据
小概率事件在一次试验(抽样)中是不可能发生的
假设检验的一般步骤
9.2 正态总体均值和方差的假设检验
假设检验过程中的两类判断错误(判断失误)
- 当判断
伪(拒绝 )时,实际情况 真——此为第一类错误(弃真)(概率小于或等于 ) - 当判断
真(接受 )时,实际情况 伪——此为第二类错误(纳伪)(概率为 )
当样本容量
通常的实际做法是:设置检验水平
在实际问题中,如何给定检验水平
- 当拒绝一个属真的假设,即犯第一类错误后果非常严重时,应将
取得小一些,如 等; - 当取伪会引起严重后果时,可将
取得适当大一些,如 等。
9.2.1 已知
1. 已知,检验假设
由样本提供的信息计算
- 若
则拒绝原假设 ( 伪),接受 ; - 若
则接受原假设 ( 伪)。
具体步骤
- 提出假设:
原 假 设 备 选 假 设 - 在
为真时,构建检验统计量 - 确定检验水平
和拒绝域
对于给定的检验水平 ,
则 ,即 是小概率事件,从而,拒绝域: - 由样本提供的信息计算
的值,查 表得- 若
则拒绝原假设 ( 伪),接受 ; - 若
则接受原假设 ( 伪)。
- 若
- 得出结论
例
2. 已知,检验假设
由样本提供的信息计算出
- 若
则拒绝原假设( 伪),接受 ; - 若
则接受原假设( 真)
具体步骤
此时样本信息显示
- 提出假设
原 假 设 备 选 假 设 - 构建检验统计量
- 确定拒绝域
- 由样本提供的信息计算出
- 若
则拒绝原假设( 伪),接受 ; - 若
则接受原假设( 真)
- 若
- 给出结论
例
3. 已知,检验假设
由样本提供的信息计算出
- 若
则拒绝原假设( 伪),接受 ; - 若
则接受原假设( 真)
具体步骤
此时样本信息显示
- 提出假设
原 假 设 备 选 假 设 - 构建检验统计量
- 确定拒绝域
- 由样本提供的信息计算出
- 若
则拒绝原假设( 伪),接受 ; - 若
则接受原假设( 真)
- 若
- 得出结论
例
9.2.2 未知
1. 未知,检验假设
由样本计算出
- 若
,则拒绝假设 ,接受 - 若
,则接受假设
具体步骤
由于
- 提出假设
原 假 设 备 选 假 设 - 构建检验统计量
- 确定拒绝域
从而,拒绝域
- 由样本计算出
,然后与 进行比较
- 若
,则拒绝假设 ,接受 - 若
,则接受假设
- 得出结论
例1
例2
2. 未知,检验假设
由样本计算出
- 若
,则拒绝假设 ,接受 - 若
,则接受假设
具体步骤
事先计算出样本值
- 提出假设
原 假 设 备 选 假 设 - 构建检验统计量
- 确定拒绝域
从而,拒绝域
- 由样本计算出
,然后与 进行比较
- 若
,则拒绝假设 ,接受 - 若
,则接受假设
- 得出结论
3. 未知,检验假设
- 由样本计算出
,然后与 进行比较
- 若
,则拒绝假设 ,接受 - 若
,则接受假设
具体步骤
事先计算出样本值
- 提出假设
原 假 设 备 选 假 设 - 构建检验统计量
- 确定拒绝域
从而,拒绝域
4. 由样本计算出
- 若
,则拒绝假设 ,接受 - 若
,则接受假设
- 得出结论
以上三种检验法均采用了
9.2.3 正态总体方差的假设检验
1. 检验假设
根据样本值计算
- 若
或 则拒绝假设 ,接受 - 否则接受假设
具体步骤
- 提出假设
- 构建检验统计量
- 确定拒绝域
从而拒绝域
4. 根据样本值计算
- 若
或 则拒绝假设 ,接受 - 否则接受假设
- 得出结论
例1
例2
2. 检验假设
根据样本值计算
- 若
则拒绝假设 ,接受 - 否则接受假设
具体步骤
- 提出假设
- 构建检验统计量
- 确定拒绝域
从而拒绝域
- 根据样本值计算
- 若
则拒绝假设 ,接受 - 否则接受假设
- 得出结论
3. 检验假设
根据样本值计算
- 若
则拒绝假设 ,接受 - 否则接受假设
例
具体步骤
- 提出假设
- 构建检验统计量
- 确定拒绝域
从而拒绝域
- 根据样本值计算
- 若
则拒绝假设 ,接受 - 否则接受假设
- 得出结论
注:假设检验与置信区间的关系
假设
10 随机过程的基本概念
10.1 随机过程的定义及分类
10.1.1 随机过程的定义
定义1
给定参数集
对任意给定的
定义2
设随机试验
对于所有的
由定义2得
- 对于
中的每一个 , 是仅依赖于 的函数,称为随机过程的样本函数,它是随机过程的一次物理实验或对应于 的轨道 - 对任意给定的
, 是一个随机变量,称其为随机过程在 时的状态变量,简称状态
定义3
定义在
对于固定的
例
10.1.2 随机过程的分类
1. 按随机过程的参数集和状态空间分类
- 参数集
可能为离散集或连续集 - 状态空间
可能为离散集或连续集
离散, 离散(贝努里随机过程) 离散, 连续
参数离散随机过程是随机变量序列,简称随机序列。
一般地记
连续, 离散(泊松过程) 连续, 连续
2. 按随机过程的概率结构分类
- 二阶矩过程,包括正态过程,平稳过程等
- 马尔可夫过程
- 马尔科夫链
- 泊松过程
- 维纳过程
- 扩散过程
- 更新过程
- 鞅
10.2 随机过程的概率分布
10.2.1 随机过程的n维分布函数
设
称为随机过程
如果存在非负函数
成立,则称
10.2.2 独立过程
如果对于任何正整数
独立过程的
例
10.2.3 两个随机过程的有限维联合分布及独立性
设
称为随机过程
如果对于任何正整数
都成立,则称两个随机过程相互独立。
10.3 随机过程的数字特征
10.3.1 随机过程的数字特征
参数集
-
过程在
的状态 的数学期望对于一切
, 是 的函数,称为随机过程 的均值函数,简称均值。 -
过程在
的状态 的二阶原点矩称为随机过程
的均方值函数,简称均方值 -
过程在
的状态 的二阶中心矩称为随机过程
的方差函数,简称方差。标准差/均方差函数 -
任选
,状态 是两个随机变量称为随机过程
的自相关函数,简称相关函数 -
称为随机过程
的自协方差函数,简称协方差函数
- 均值、均方值、方差是刻画随即过程在各个状态的统计特性
- 相关函数和协方差函数是刻画随机过程的任何两个不同状态的统计特性
数字特征间的关系
10.3.2 连续型随机过程的数字特征
对连续型随机过程
任选
例1
例2
10.3.3 两个随机过程的互相关函数
两个随机过程
-
和 的二阶原点混合矩称为随机过程
和 的互相关函数 -
和 的二阶中心混合矩称为随机过程
和 的互协方差函数
且有 -
如果对任意
,都有 ,亦即 ,则称随机过程 和 是不相关的。
显然,两个相互独立的随机过程必不相关
例
11 平稳过程
11.1 严平稳过程
11.1.1 严平稳过程的定义
对于任意实数
(严平稳条件)
则
若参数
11.1.2 严平稳过程的性质
- 状态离散的随机过程
的严平稳条件 - 状态连续的随机过程
的严平稳条件 - 特殊地,取
- 一维分布函数
- 二维分布函数
- 一维分布函数
- 一维分布函数
:不依赖于参数 - 二维分布函数
:仅依赖于参数间距 ,而与 本身无关
11.1.3 严平稳过程的数字特征
定理
设
均为常数,与参数 无关; 仅依赖于
注:
这一性质也称为数字特征的平稳性
例
11.2 宽(广义)平稳过程
11.2.1 宽平稳过程的定义
设随机过程
是常数 仅依赖于 ,而与 无关
则称
参数集
11.2.2 平稳过程的例子
例1 证明是平稳过程
例2 证明是平稳过程
例3 证明是平稳序列
例4 证明是平稳序列
例5 证明是平稳过程
11.2.3 严平稳过程与宽平稳过程的关系
- 宽平稳过程不一定是严平稳过程
- 严平稳过程不一定是宽平稳过程
- 存在二阶矩的严平稳过程必定是宽平稳过程
二阶矩
11.2.4 两个平稳过程的关系:平稳相关
设
定义:
称为标准互协方差函数。
11.3 正态平稳过程
11.3.1 正态过程的概念
1. 正态随机变量的有关知识
一维正态随机变量
二维正态随机变量
其中:
协方差矩阵
2. 正态过程的定义
如果随机过程
设
3. 独立正态过程的定义
如果
正态过程
4. 正态过程是二阶矩过程
设
必存在,即二阶矩存在。
11.3.2 正态平稳过程
1. 定义
如果正态过程
2. 定理
设
3. 例题
例1 正态平稳过程的一维、二维服从的分布
例2 证明平稳过程
11.4 遍历过程(经历过程)
11.4.1 时间均值和时间相关函数
设随机过程
固定
\overline{x(t)} = \overline{X(e,t)} = \lim\limits{l \to +\infty}
\dfrac{1}{2l}\int^l{-l}X(e, t),dt
\begin{aligned}
\overline{X(t)X(t + \tau)}
= & \overline{X(e, t)X(e, t + \tau)}\
= & \lim\limits{l \to +\infty}
\dfrac{1}{2l}
\int^l{-l}
X(e, t)X(e, t + \tau),dt
\end{aligned}
\begin{aligned}
&\overline{X(t)} = \lim\limits{l \to +\infty}
\dfrac{1}{l}
\int_0^l X(e, t), dt\
&\overline{X(t)X(t + \tau)} = \lim\limits{l \to +\infty}
\dfrac{1}{l}
\int_0^l X(e, t)X(e, t + \tau), dt
\end{aligned}
\lim\limits_{l \to +\infty}
\dfrac{1}{l} \int_0^{2l}
(1 - \dfrac{\tau}{2l})[R_X(\tau) - \mu^2_X],d\tau = 0
\lim\limits_{l \to +\infty}
\dfrac{1}{l} \int_0^{l}
(1 - \dfrac{\tau}{l})[R_X(\tau) - \mu^2_X],d\tau = 0
# 12 马尔可夫链 ## 12.1 马尔可夫链的定义 ### 12.1.1 定义 设随机过程 $\{X(t), t \in T\}$ 的状态空间 $S$ 是有限集或可列集,对任意正整数 $n$,对于 $T$ 内任意 $n+1$ 个状态参数 $t_1<t_2<...<t_n<t_{n+1}$ 和 $S$ 内任意 $n+1$ 个状态 $j_1, j_2, ..., j_n, j_{n+1}$,如果条件概率\begin{aligned}
&P{X(t{n+1}) = j{n+1}|X(t1)=j_1, X(t_2)=j_2,...,X(t_n)=j_n}\
=&P{X(t{n+1})=j_{n+1}|X(t_n)=j_n}
\end{aligned}
p{ij}(t_m)=p{ij}(tk)=p{ij}
## 12.2 参数离散的齐次马尔可夫链 ### 12.2.1 转移概率矩阵 ##### 定义 设 $\{X(t), t = t_0, t_1, t_2, ..., t_n, ...\}$ 是齐次马尔可夫链,由于状态空间 $S$ 是离散的,不妨设 $S=\{0, 1, 2, ...,n, ...\}$ 则对 $S$ 内的任意两个状态 $i$ 和 $j$,由转移概率 $p_{ij}=P\{X(t_{m+1})=j|X(t_m)=i\}$ 排序一个矩阵:P=
\left(
\begin{array}
&p{00}&p{01}&\cdots&p{0j}&\cdots\
p{10}&p{11}&\cdots&p{1j}&\cdots\
\vdots&\vdots&\ddots&\vdots&\cdots\
p{i0}&p{i1}&\cdots&p_{ij}&\cdots\
\vdots&\vdots&\vdots&\vdots&\ddots
\end{array}
\right)
### 12.2.2 科尔莫戈罗夫-查普曼方程 ##### 定理 设 $\{X(t), t=t_0, t_1, t_2, ..., t_n, ...\}$ 是参数离散的马尔可夫链,$S$ 为其状态空间,则有:p{ij}^{(n+l)}(t_m)=
\sum\limits{k \in S} p{ik}^{(n)}(t_m) \cdot p^{(l)}{kj}(t_{m+n})
### 12.2.3 有限维概率分布 #### 1. 初始分布(初始概率) 马氏链 $\{X(t), t = t_0, t_1, t_2, ...\}$ 在初始时刻 $t_0$ 的一维概率分布:p_{j}(t_0)=P{X(t_0)=j}, \quad j=0, 1, 2, ...
\begin{aligned}
&P{X(k1) = j_1, X(k_2)=j_2, ..., X(k_n) = j_n}\
=& \sum\limits{i=0}^{+\infty}pi(0)\cdot p{ij1}^{(k_1)}\cdot p{j1j_2}^{(k_2 - k_1)}...p{j{n-1}j_n}^{(k_n-k{n-1})}
\end{aligned}
#### 3. 绝对分布(绝对概率,瞬时概率) 马尔可夫链在任何时刻 $t_n$ 的一维概率分布:p_j(t_n)=P{X(t_n)=j},\quad j = 0,1,2,...
pj(t_n)=\sum\limits{i=0}^{+\infty} pi(t_0)\cdot p{ij}^{(n)},\quad j=0, 1, 2,...
\begin{aligned}
&\big(p_0(t_n), p_1(t_n), ..., p_j(t_n), ...\big)\
=&\big(p_0(t_0), p_1(t_0), ..., p_j(t_0), ...\big)\cdot P^n
\end{aligned}
### 12.2.4 平稳分布 ##### 定义 对于齐次马尔可夫链 $\{X(t), t = t_0, t_1, t_2, ...\}$,如果存在一维概率分布 $p_j\space j=1,2,...$,满足:pj=\sum\limits{i=0}^{+\infty}pip{ij}
(p_0, p_1, p_2, ..., p_j, ...)=(p_0, p_1, p_2, ..., p_j, ...)\cdot P
p_j(t_n) = P{X(t_n)=j}=p_j(t_0),\space j=0,1,2,...
\big(p_0(t_n), p_1(t_n), ..., p_j(t_n), ...\big)
=\big(p_0(t_0), p_1(t_0), ..., p_j(t_0), ...\big)
## 12.3 参数连续的齐次马尔科夫链 ### 12.3.1 转移概率函数 ##### 定义:转移概率和转移时间 设 $\{X(t),t\ge 0\}$ 是参数连续的马尔科夫链,对于任意非负实数 $t$ 和任意正实数 $\tau$ ,以及链的任意两个状态 $i,j$,条件概率 $$P\{X(t+\tau) = j|X(t) = i\} = p_{ij}^{(r)}(t)$$ 称为马尔科夫链在时刻 $t$ 由状态 $i$ 出发,经过时间间隔 $\tau$ ,在时刻 $t+\tau$ 到达状态 $j$ 的**转移概率**,$\tau$ 称为**转移时间**。 ##### 定义:齐次性或时齐性 如果 $p_{ij}^{(r)}(t)$ 不依赖于出发时刻 $t$,仅依赖于转移时间 $\tau$,则称马尔科夫链 $\{X(t),t\ge 0\}$ 具有**齐次性**或**时齐性**,此时可记为 $$p_{ij}^{(r)}(t) = P\{X(t+\tau) = j|X(t) = i\} = p_{ij}(\tau)$$ ##### 齐次马尔可夫链的性质 1. 当 $\tau >0$ 时,$p_{ij}(\tau)\ge 0$。当 $\tau = 0$ 时,规定p{ij}(0) = \delta{ij} =
\begin{cases}
1, &{i = j} \
0, &{i\neq j}
\end{cases}
p{ij}(\tau_1+\tau_2) =\sum\limits{k\in S}p{ik}(\tau_1)\cdot p{kj}(\tau_2),\ \tau_1>0,\ \tau_2>0
lim{r\to 0^+}p{ij}(\tau) = p_{ij} (0) =
\begin{cases}
1, &{i=j} \
0, &{i\neq j}
\end{cases}
p{ij}'(0) = lim{r\to 0^+} \frac{p{ij}(\tau)-p{ij}(0)}{\tau} = q_{ij}
Q=
\left(
\begin{array}
&q{00}&q{01}&\cdots&q{0j}&\cdots\
q{10}&q{11}&\cdots&q{1j}&\cdots\
\vdots&\vdots&\ddots&\vdots&\cdots\
q{i0}&q{i1}&\cdots&q_{ij}&\cdots\
\vdots&\vdots&\vdots&\vdots&\ddots
\end{array}
\right)
### 12.3.3 科尔莫戈罗夫方程 设 $\{X(t),t\ge 0\}$ 是参数连续的齐次马尔科夫链,转移概率函数 $p_{ij}(\tau)$,转移速率矩阵 $Q = (q_{ij})$ 。分别以 $p_{ij}(\tau)$ 为元素和以 $p_{ij}/(\tau)$ 为元素构造矩阵 $P(\tau) = [p_{ij}(\tau)],\ P'(\tau) = [p'_{ij}(\tau)]$ 。则有 ##### 科尔莫戈罗夫前进方程 若对状态 $j$,$\sum\limits_{i\neq j}q_{ij}<+\infty$ ,则转移概率函数 $p_{ij}(\tau)$ 满足微分方程p{ij}'(\tau) = \sum\limits{k\in S}p{ik}(\tau)q{kj}
p{ij}'(\tau) = \sum\limits{k\in S}q{ik}p{kj}(\tau)
### 12.3.4 瞬时概率

































































